From City Hall to Facebook Threads: The Retaliatory Network Built on Lies, Power, and Online Abuse
The Harassment Machine: How Chief McCann’s Retaliation Sparked a Coordinated Campaign Against One Citizen
By Aaron Christopher Knapp | LorainPoliticsUnplugged.com | “Broadcasting Without Permission”
Editorial Note:
There is a point in every investigation where you stop pretending that a pattern is a coincidence. There is a point where you gather enough screenshots, enough emails, enough slurs, enough threats, and enough institutional silence that the only honest thing left to do is put it all on the record. This is that point.
What follows is not a story about thin-skinned critics on Facebook. It is the documented, verifiable, screenshot-captured, publicly posted campaign of harassment, defamation, misinformation, and targeted humiliation directed at a single citizen: me. This did not begin with random people deciding they disliked me. This began with a police chief who weaponized his position, leaked confidential information, fed narratives to public officials, and created an atmosphere where everyday citizens felt empowered to mock disabilities, sexual orientation, mental health, and trauma because they believed the person at the top had already made me a target.
I am publishing this because the record has to exist somewhere. When institutions fail, when the Sheriff dismisses documented evidence, when the Chronicle chooses silence, when officers who know better do nothing, and when public officials in another city join in the mockery, the truth does not disappear. It just waits for someone with a spine to tell it. That is what this is.
This article contains every major piece of the harassment timeline. Every public statement made about me. Every lie told about my sexuality, my disability, my mental health, my criminality, my character, and even my injuries after I was jumped at a bar. Every attempt to push me into the role of a villain so that the people in power never have to answer for what they started.
If you want to understand the culture of retaliation in Lorain County, you cannot skip this story. Because this is where the institutional rot meets the Facebook comment section. This is where a police chief’s behind-the-scenes conduct turns into the casual cruelty of strangers who think they are safe to say anything because someone in authority already said I deserved it. This is the ecosystem that allows corruption to flourish. This is how they silence people. This is how they get away with it.
And this is why I am publishing this.
“Retaliation does not start in the comment section. It starts in the offices of the people who believe they will never be held accountable.”
This One is Long Folks, and deeply personal, so grab some popcorn and use the restroom before you dig in… Aaron.
THE ROOT CAUSE: HOW A POLICE CHIEF SET THE STAGE FOR A COMMUNITY TO TURN ON ONE PERSON
Before the Facebook mobs. Before the bar attack. Before people started calling me gay as an insult, mocking my disability, laughing at my injuries, or inventing threats I never made. Before citizens in two different cities began recycling each other’s rumors. Before a protection order was weaponized based entirely on hearsay. Before any of that chaos took hold, there was one constant force behind all of it, and everything that came after can be traced back to him.
That force was Chief James McCann.
Long before strangers on the internet felt comfortable tearing me apart, a police chief with institutional power began circulating narratives about me through back channels. When a chief of police sends private communications to a court administrator about a citizen’s mental state, reputation, employment, or supposed “instability,” that citizen becomes marked in ways that no ordinary person can undo. Once those communications leave his hands and get quietly repeated behind closed doors, you are no longer treated as a resident with constitutional rights. You become a topic of gossip, a liability, a caricature, a threat, or an inconvenience. You become someone the community feels permitted to diminish.
McCann’s statements and emails about me did not stop within the police department. They moved outward, far beyond the place where they should have remained. They were shared with people who had no lawful purpose for receiving them. They were echoed inside agencies that should never have touched them. The moment that door cracked open, people like Tia Hilton, Jeff Casselman, Aden Fogel, and a long list of others walked straight through it. They did not create the narrative about me. They simply followed the signal sent by someone who carries a badge and is treated as an authority.
The hostility that followed was not organic. It was not random. It was not a misunderstanding born on social media. It was the direct result of a police chief shaping a narrative behind the scenes and letting others run wild with it.
When a chief frames a citizen as unstable, dangerous, unhinged, or mentally ill, even without evidence, that portrayal spreads fast among people looking for a villain or a target. Once rumors move into public circulation, people no longer see you as a person. They see a label. They see a storyline. And once that happens, they feel entitled to treat you however they want.
The emails McCann released, the mischaracterizations he pushed, and the way he used his office created the perfect environment for strangers to publicly call me crazy, gay, dangerous, delusional, unstable, violent, belligerent, “postal,” “shit head,” a “POS,” mentally ill, or deserving of whatever harm came my way. They felt confident doing this because someone in a position of power had already framed me as someone who could be mocked without consequence.
Local media amplified it further. The Chronicle Telegram presented the bar attack as a simple “altercation,” even though the images show me face down on the floor with multiple people on top of me. I was dragged, beaten, and kicked outside of camera angles that would have shown the worst of it. I was left bloodied and alone with no police response and no medical attention. The Chronicle took the attackers’ preferred narrative, printed it without question, and handed legitimacy to a story that erased what actually happened.
The public accepted that version because they had already been told who I was. They had already been primed to believe that I was the kind of person who deserved it.
None of this would have taken root without the seed planted by Chief McCann. None of it would have spread without his willingness to use institutional power to shape the story of who I supposedly was. None of it would have escalated into community-wide harassment if the chief had not set the tone from the top.
Every story has a beginning. The harassment did not begin on Facebook. It did not begin at a bar. It began in a police chief’s inbox where a narrative was crafted, shared, and allowed to metastasize into something far more dangerous.
“When a police chief labels a citizen as unstable, the entire community is given permission to treat that person as less than human.”
THE BAR ATTACK: HOW A LIE BECAME A LICENSE TO HURT SOMEONE
The night of the bar attack did not begin with shouting, confrontation, or any disorderly behavior. It began with me sitting in a booth, on the phone for nearly three hours with Councilwoman Victoria Kempton. I walked around inside and outside while talking, ordered food, and interacted with no one in a way that raised concern. There was nothing unusual, nothing aggressive, nothing that would justify what happened next.
But inside that bar, a narrative was already circulating. I did not know it at the time, but people had been primed with the idea that I was a problem. Someone had pushed the idea that I was “weird,” “acting strange,” or “pretending to be on a fake phone call.” That framing spread among friends of the bar, including people who were not actual employees but who played the part when it benefitted them.
One of those people was a man the community would later come to know as “the Santa Claus guy,” whose real name is Andy. Another was Gito, not an official employee either, but a close friend of the establishment who moved behind the bar and acted with the authority of staff. These individuals decided unilaterally that I needed to leave, despite the fact that I had done nothing wrong, had paid for my food, and was waiting for it.
As the night wound down, Andy sat next to me at the booth. He had been drinking all evening. He was not an employee. He was not a bouncer. He had no business placing his hands on me. Yet without warning, he grabbed me from behind by the shoulders. From my perspective, I was sitting peacefully when another patron suddenly laid hands on me. I did not know who was grabbing me or why. I did not know whether the person behind me was drunk, angry, or intending to hurt me. I only knew that someone was yanking me up and out of a booth without consent.
The next moments happened fast. Andy forced me toward the ground. The angle of the camera and the placement of the tables hide the fact that I was taken down abruptly. Once I hit the floor, the violence intensified. While the public has only been allowed to see limited angles, the truth is simple: I was pinned face down, on my stomach, with my hands restrained behind my back. Multiple people piled on. Someone kicked me while I was on the floor, out of the camera’s view. When they dragged me toward the exit, the video shows my arm limp and trailing behind me, making it appear as though I was unconscious.
The Chronicle Telegram would later call this an “altercation,” but the images tell the story better than their headline ever could.
This was not two drunk men fighting.
This was a coordinated takedown of one person who never touched anyone.
I was eventually shoved outside, injured and bleeding. No one offered medical care. No ambulance was called. No police report was filed in the moment. Under Ohio’s Dram Shop Act, bars are responsible for preventing foreseeable harm and avoiding serving intoxicated patrons who may pose a risk. Instead, intoxicated patrons and friends of the bar were allowed to act as enforcers.
SIDEBAR: WHAT ACTUALLY CONSTITUTES ASSAULT IN OHIO, AND WHY THIS INCIDENT QUALIFIES
There is a simple truth buried beneath all the noise, excuses, rumors, and selective storytelling that followed the attack at the bar. No matter what narrative people tried to push afterward, the video shows one thing with absolute clarity. A patron, not an employee, not a security officer, not anyone vested with lawful authority, grabbed me from behind without warning or justification. That patron, Andy, placed his hands on me, forced me toward the ground, held me down, straddled my back, and continued to restrain me while I was face down on the floor. He is the only person clearly visible on the video applying physical force directly to my body.
Under Ohio law, that is assault. It does not require intent to injure. It does not require a punch. It does not require a weapon. It requires only one element: knowingly causing or attempting to cause physical harm to another person. Grabbing someone from behind without consent is force. Forcing them off a seat is force. Pushing their body downward is force. Holding them pinned face down is force.
Because Andy was a patron and not an employee, he had no lawful standing to touch me at all. He had no authority to remove me. He had no authority to restrain me. He had no authority to act as security for the establishment, and even if he had been a bouncer, private citizens are not permitted to apply force unless a crime is being committed or lawful defense is required, neither of which applied here. There was no disorderly conduct. There was no threat. There was no fight. There was only one man sitting in a booth who was suddenly grabbed by another patron who had been drinking all night.
The bar had a legal responsibility under the Dram Shop Act to protect every customer, including me. The law requires bars to avoid creating foreseeable harm, and it prohibits serving or empowering intoxicated patrons who might hurt someone. Instead of stepping in, “Gito,” who had no formal employment role but was behind the bar acting as an authority figure, simply stood and watched while another drunk patron seized me, took me to the ground, and remained on top of me. In the eyes of the law, that is not passive presence. That is negligence. It created the conditions in which foreseeable harm occurred and then permitted it to continue without intervention.
Afterward, the story shifted. Andy and certain witnesses began claiming that he was “shielding” me or “trying to protect” me with his body. The video contradicts that narrative completely. He was not shielding anything. He was holding me down. He was on top of me. He kept me restrained while I was face down, with my arms pinned and my body immobilized. There is no moment in the footage where he appears to safeguard me from anyone else. The only threat to me was the person physically on my back.
Accusations that I pulled his beard or bit him emerged long after the fact, and these claims surfaced only after the attackers realized the video showed them using force on a man who never touched anyone. These after-the-fact attempts to justify violence are common in bar assault cases. They are legally meaningless unless supported by evidence, witnesses without bias, or visible injury. None of that existed here. There is no video of me initiating force. There is no audio of me threatening anyone. There is no frame showing me touching him first. Every piece of evidence shows the opposite.
What happened on that floor was not a misunderstanding. It was not mutual combat. It was not an “altercation” like the Chronicle Telegram printed for convenience. It was a patron assaulting another patron while bar associates stood by, failed to intervene, watched the violence unfold, and then permitted rumors and false statements to fill the void where a police report should have been.
In any court, on any recording, under any objective review of Ohio law, that is assault.
“Ohio law does not give drunk patrons the authority to manhandle strangers. The video shows one person using force, and that makes this not a misunderstanding, but a crime.”
In the days that followed, witnesses from the bar attempted to rewrite the incident by claiming Andy was “shielding” me with his body. The photographs show the opposite. At no point does Andy appear to be protecting me. He is restraining me, straddling me, holding me down, and participating in the very violence they would later minimize.
This attack did not happen because I was a threat. It happened because people had been conditioned to believe that I was one.
The same people who mocked me online, accused me of being dangerous, unstable, or strange are the same category of people who felt entitled to put their hands on me in public. They carried the same confidence: the confidence that I was someone they could physically handle without consequence. That confidence does not come out of nowhere. It comes from a narrative planted by someone in authority and fertilized by rumor, gossip, and a community that had begun to treat me as less than human.
When I returned inside to get my belongings, I was assaulted again. The public never saw that part. The Chronicle never printed those details. But I walked out of that bar bloody, bruised, shaken, and treated as though the harm done to me was my own fault.
What happened inside and outside that bar should have resulted in immediate police response, statements from all involved, and a review of security footage with accountability for those who used force. None of that happened. The people who assaulted me faced no charges. The bar faced no citations. The sheriff’s office filed no criminal case. Not one person who laid hands on me was arrested or even asked to explain why a patron, rather than staff or law enforcement, was permitted to grab another customer, force him to the floor, pin him down, restrain his arms, and drag him along the carpet. In any other context, this would have been treated as a criminal assault. Here, it was treated as an inconvenience. The response was silence, shrugs, and a newspaper headline reducing the entire incident to an “altercation” as though both sides participated equally. The refusal to treat the attack as a crime completed the circle of dehumanization. The people who hurt me were validated, and I was left bleeding on the concrete while the system looked away..
“They beat me, dragged me, injured me, mocked me, and the system did nothing. No charges, no accountability, no protection. Only silence.”
THE FACEBOOK MOB: HOW A COMMUNITY LEARNED TO DEHUMANIZE ONE PERSON
What happened on Facebook did not appear out of thin air. It did not start with a disagreement, a policy argument, or even a political divide. It started with a slow drip of narratives, rumors, and insinuations that turned into a public permission slip for strangers to treat me as less than human. Long before a protection order was filed, long before people were screaming my name in comment sections, people had already decided that I was fair game. They felt entitled to mock me, fabricate stories about me, twist my words, attack my character, and degrade anything about me that made me an easy target.
The earliest waves came from people who had no issue making their attacks public. They mocked my voice, my appearance, my service, my disabilities, and even my trauma. People who had never met me felt comfortable calling me “crazy,” “postal,” “unstable,” “delusional,” “gay” as an insult, or “mentally sick.” The kind of language used about me was not the language of disagreement but the language of dehumanization. Every label was meant to strip away my credibility, my dignity, and eventually my safety.
Much of this rhetoric came from people aligned with or influenced by the same small social circles that orbit Lorain politics. Names like Fogel, Casselman, Ritchey, Huskey, Antus, Wilhelm, and others made regular appearances. It did not matter what I said. It did not matter what evidence I provided. Their hostility was not based on facts. It was based on a narrative they had been fed, a narrative that painted me as a villain.
The common thread is that none of these people ever interacted with me directly. They were responding to a version of me that existed only through rumor and political gossip. They attacked the caricature, not the actual human being. Once that caricature was created, others felt emboldened to pile on. The mob became its own engine.
Jeff Casselman leaned into the attacks with confidence. He wrote lengthy, aggressive rants painting me as some sort of political fraud or manipulator. He compared me to stereotypes, called me names, and insisted that I could not be believed about anything. He tried to turn every conversation about corruption or misconduct into a referendum on my character. The more evidence I provided about wrongdoing in Lorain County, the more Casselman seemed determined to drown out the facts with personal insults.
Aden Fogel joined in, calling me a bully and claiming I could “dish it out but not take it.” He worked hard to undermine anything I reported, but even in his attacks, something interesting happened. People noticed that the same person who mocked me was also sharing the same information I had exposed publicly. Even when he tried to discredit me, he was forced to acknowledge the strength of the investigations.
Eventually, he moved from mocking me to seeking credibility in his own political career. Today, he sits on Sheffield Lake City Council. The irony writes itself. The man who repeatedly tried to dehumanize me now occupies a public office while insisting that his behavior was harmless.
The ripple effects spread even further. People like Kerri Huskey parroted the same claims, insisting they had “heard proof” that I threatened someone. They never offered evidence. They simply repeated each other. Others chimed in with their own insults, calling me a “fuck knuckle,” “deserving of institutionalization,” or worse. The cruelty escalated without restraint.
Yet in all this, a few people stood up to the mob. Individuals like Jayne pushed back, questioned the hostility, and tried to remind others of basic decency. But for every one voice defending me, there were ten more piling on. The culture had shifted. The harassment had momentum. The comments became a kind of sport.
The most disturbing part was not just the insults. It was the confidence. They spoke about me as though I were not a person but a character in a local drama they felt entitled to judge. They claimed knowledge of events they never witnessed. They made definitive statements about my behavior based on rumor. They used my name as a punchline, a warning, or an excuse to grandstand for likes.
And all of it followed the same direction of gravity. Each comment, each insult, each unfounded claim pushed the narrative deeper: Aaron is unstable. Aaron is dangerous. Aaron is mentally ill. Aaron is lying. Aaron is making threats. Aaron is the problem.
These were not political disagreements. These were attempts to socially erase a person.
The mob did not start itself. It responded to a larger signal. It responded to the environment created when a police chief privately emails court officials labeling a citizen as unstable. It responded to the aftermath of McCann’s communications. It responded to the permission structure set by authority and amplified by gossip networks.
People behave differently when they think the system agrees with them. They become bolder. Crueler. More certain of their righteousness.
That is what happened here. People attacked me because they thought they could. They believed they were punching down at someone who had already been framed as unstable. They believed the institutions were already against me. When the Chronicle Telegram framed my assault as a mutual “altercation,” it only further validated their belief that I deserved what came next.
The Facebook mob did not just appear. It was created.
“The mob treated me as a caricature instead of a person. They mocked my pain, my disability, my service, and my injuries because they believed the system had already written me off.”
THE FACEBOOK MOB: HOW ORDINARY PEOPLE TURNED INTO A DIGITAL LYNCH CROWD
What happened at the bar was the physical manifestation of something that had already been happening for months online. The beating did not come out of nowhere. The dragging, the kicking, the pinning, the blood on the concrete, the limp arm trailing behind me on the floor, all of it was simply the real-world expression of the digital hate campaign that had been building long before April 5. The comments, the smears, the lies, the homophobic jokes, the attacks on my disability, the insinuations about my mental health, the mockery of my injuries, the accusations of stalking, the weaponized rumors, all of it laid the groundwork for the moment when people felt justified in putting their hands on me.
The Facebook mob did not form organically. It formed because people were given permission. Not formally. Not explicitly. But socially. When a police chief labels you behind the scenes, when that label spreads through whispers and emails and social networks tied to public officials, it trickles down to the people most eager for a spectacle. Those people became the self-appointed narrators of my life. They dissected my posts, misrepresented my intentions, created stories out of nothing, and passed them around as fact. The mob grew because each person wanted to be the one who delivered the next blow, whether verbal or reputational. They competed with each other to see who could say something harsher, uglier, or more degrading.
People like Jeff Casselman stepped forward proudly. Casselman called me “shit head,” “POS,” and declared confidently that I had threatened a woman’s life despite never witnessing anything and never producing a shred of evidence. He accused the Sheriff’s Office of improperly giving me a report, claimed I violated a protection order I was never served, and bragged about sending posts to Hilton so she could escalate matters. He smeared my name with open glee, presenting himself as the public narrator of events he fabricated. His confidence did not come from truth. It came from the social reward of being part of a digital gang.
Then there were comments like the ones from Zack Wilhelm, who said I belonged in a mental institution. Others called me “postal,” “crazy,” “nutjob,” “drunk,” or “unstable.” Some, like the “I hope someone pops him for DWI” crowd, encouraged violence or arrests without cause. Others mocked my teeth, my voice, my disability, or my military trauma. The cruelty became a sport. Even my injuries from the assault became a punchline. People laughed about my limp arm being dragged across the floor. They joked about my face in the photos. They called the beating “karma,” “hilarious,” or “what happens when you run your mouth.” They treated trauma as entertainment.
Even more disturbing were the comments targeting my sexuality. People like Tia Hilton repeatedly used homophobic insinuations as weapons, calling me “pretty boy,” implying I wanted men rather than women, and framing my appearance as something shameful. When Hilton mocked me by saying, “He doesn’t want to represent you, he wants to rep your husband,” the mob treated it as a cue to escalate the insults. Dozens of people piled on, laughing, adding comments, and amplifying the humiliation. It became normal, almost routine, to reduce me to a stereotype built on someone else’s projection.
Some mocked my PTSD. They claimed “water boys can’t get PTSD.” They laughed about my service, made comments about dishonorable discharge, and implied I was faking trauma. They attacked the very injuries that limit my range of motion, affect my voice, and influence my demeanor. They weaponized the pain that I live with daily. When I explained my neurological limitations publicly in a heartfelt post so people close to me could understand me better, people like Hilton mocked that too. They twisted my honesty into an opening for more cruelty.
Meanwhile, people like Aden Fogel participated in attacks while posturing as public servants. Fogel called me a bully who “can dish it out but can’t take it,” despite having instigated his own share of harassment. He later became a councilman. So did Jon Morrow, the man whose hearsay statement triggered a sheriff’s welfare check and the eventual filing of a protection order by Hilton. Morrow has since acknowledged that he exaggerated and that he never believed I posed a genuine threat. Yet his words were enough to unleash a chain reaction that emboldened people who already wanted an excuse to attack.
This mob behavior did not happen in a vacuum. It happened in a culture where my name was already being passed around by officials and activists. The people attacking me felt supported. They felt protected. They felt like they were performing a public service by tearing me down. They reveled in the attention, the likes, the group validation. They acted as though they were punishing a villain rather than harming a human being. This was not political disagreement. It was not community dialogue. It was a coordinated dehumanization campaign disguised as casual Facebook commentary.
What they did not realize is that every comment, every insult, every screenshot, every seething remark, every accusation, every joke about my disability, every insinuation about my sexuality, every lie about my conduct, and every attempt to portray me as a danger has been preserved. What they also did not realize is that their words show exactly how far the community had been conditioned to go to destroy someone they believed had already been condemned by authority.
The mob believed they were punching downward. They were not. They were revealing how far a community can fall when its institutions signal that a specific person no longer deserves fairness, dignity, or truth.
“Online mobs don’t form on their own. They are born the moment powerful people give ordinary citizens permission to hate.”
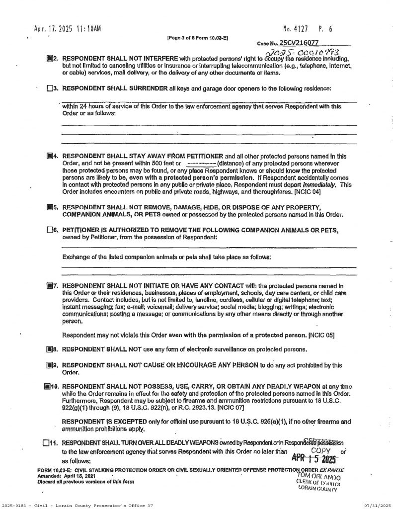
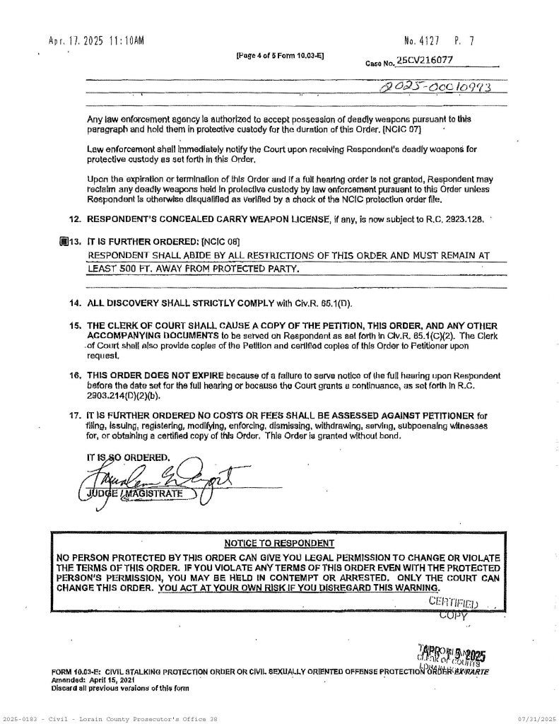
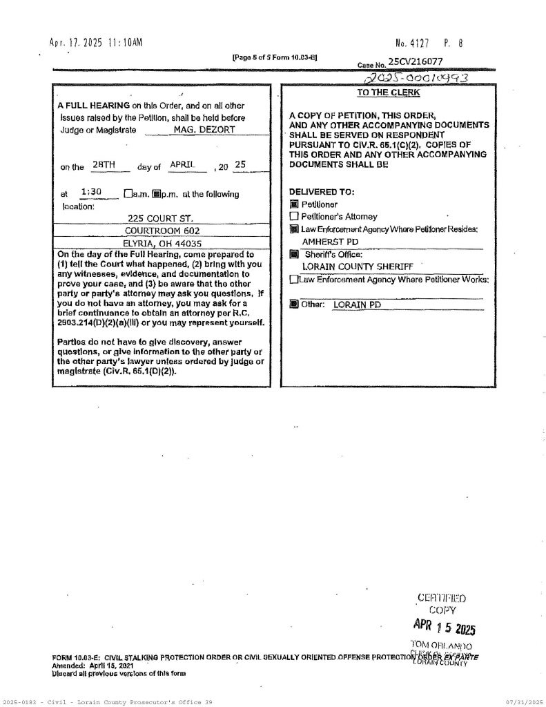
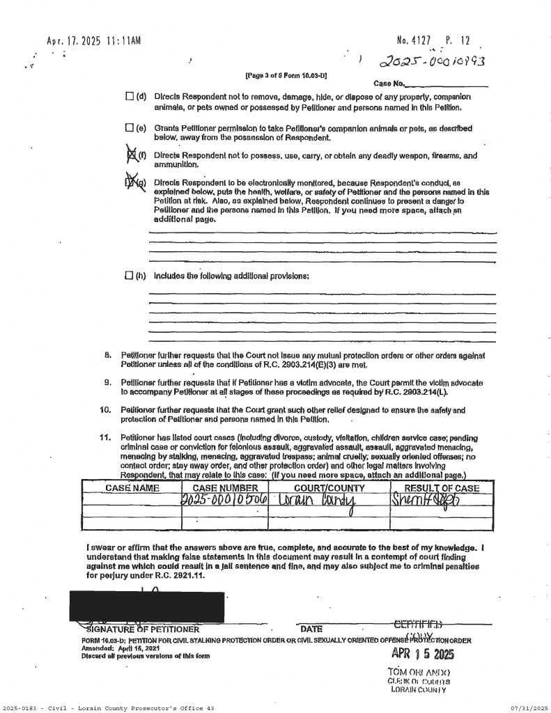
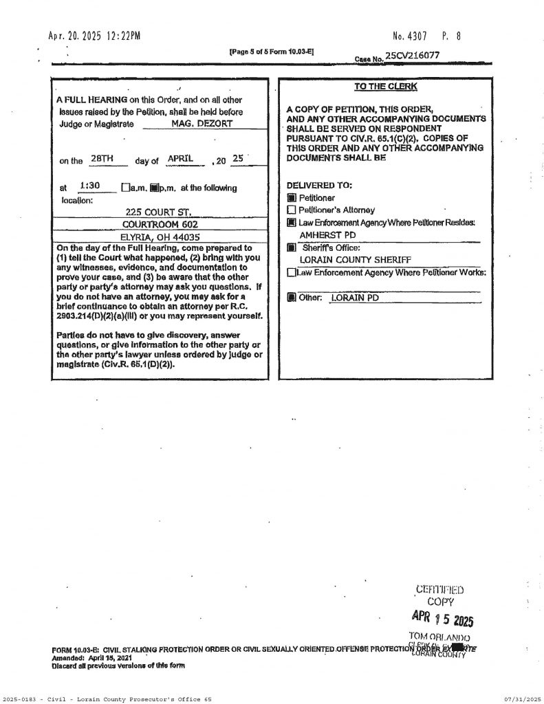
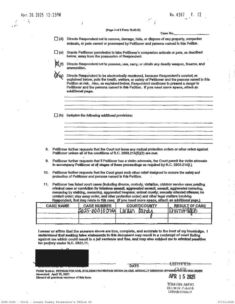
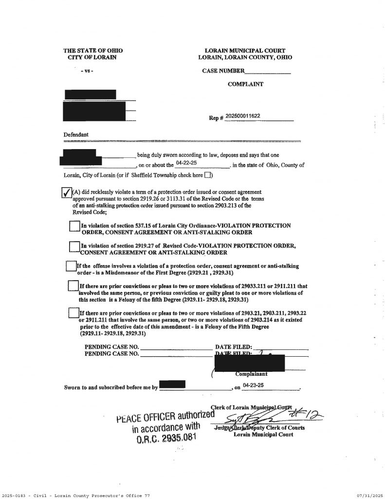
THE PROTECTION ORDER BUILT ON NOTHING: HOW HEARSAY BECAME A WEAPON
The Temporary Protection Order that Tia Hilton sought against me was never rooted in evidence, fear, or firsthand experience. It was built entirely on a chain of hearsay so thin and fragile that in any fair system it would have snapped under its own weight. But in Lorain County, where narratives often matter more than facts, and where certain people are insulated by their connections and their politics, that hearsay was enough to trigger a sheriff’s response, a welfare check, and a petition for protection that carried the weight of law.
To understand how absurd the foundation of this TPO was, you have to follow the chain exactly as it happened.
It begins not with Hilton, not with a threat, and not with any direct communication between me and her. It begins with a phone call between me and Jon Morrow. Morrow and I spoke on Facebook Audio weeks before the incident that supposedly justified a protection order. During that conversation, according to him, we discussed politics, Sheffield Lake issues, and my detractors. Only later, after witnessing the online mob frenzy surrounding the bar attack, did Morrow decide that something I allegedly said weeks earlier now felt dangerous. The sheriff’s report confirms this timeline clearly.
Morrow told the deputy that I said I “would like to see that bitch dead.” There is no recording. No transcript. No message. No witness. No corroboration. No context. No evidence. Only his memory. And even he told the deputy that he did not take it seriously at the time, that he wrote it off, that he did not believe I meant harm, and that he only grew “worried” after seeing the way the online community was treating me following the bar incident.
From there, the allegation jumped to someone else. Morrow told a “source,” whose identity the sheriff’s report does not confirm. That source then told journalist Heather Chapin. Chapin then called Hilton. Hilton then called dispatch. Dispatch then sent deputies to her home. By the time the allegation reached the sheriff’s office, it had passed through so many hands that the original meaning, tone, context, and accuracy were impossible to verify. Yet Hilton accepted it immediately as truth and used that unverified rumor to claim she was in fear for her life.
The deputy who wrote the report stated the allegation had no immediacy, no specifics, no means, no plan, and no evidence. He noted clearly that the alleged comment was weeks old, that no recording existed, and that the petition was entirely hearsay. He closed the report. He filed no charges. He listed it as resolved. He did not treat it as a credible or actionable threat.
Despite knowing all of this, Hilton went straight to court and filed for a TPO anyway.
The irony is that within days, Morrow himself began walking back the allegation. He told people publicly that he did not believe I intended harm. He said he regretted how the situation escalated. He admitted that he never saw me as a danger. He even commented that I was a “great guy” with strong convictions and that the local GOP should work with me instead of attacking me. All of this happened while Hilton continued pushing the narrative that I was violent and dangerous.
Even more revealing is the fact that Hilton was not afraid of me. Not even remotely. The evidence proves that beyond dispute. The day after I was assaulted at the bar, she took a YouTube video of the attack and emailed it directly to my attorney with the message “Ouch. Some people shouldn’t go in public.” That is not fear. That is taunting. That is mockery. That is someone enjoying the suffering of a person she claims to be terrified of.
She continued commenting about me publicly. Continued posting about me. Continued tagging people. Continued mocking me. Continued provoking. Continued engaging. None of this is consistent with fear.
Before filing the TPO, Hilton had already escalated things by falsely claiming online that I sent people to stalk her home. She told Officer Aaron Bober this. She told others this. She posted it publicly. She alleged felony stalking without evidence, motive, or even basic logic. I reported this to the sheriff’s office in writing. Their legal counsel, Tony Nici, dismissed the matter as civil. No investigation into Hilton’s false accusations. No accountability for Officer Bober’s obligation to report. No recognition that accusing someone publicly of a felony is itself dangerous and defamatory.
The system allowed the falsehoods to grow unchecked.
Hilton’s fear was not real. Her strategy was. She wanted to flip the narrative. She wanted to portray her own escalating harassment as a reaction to a supposed threat. She wanted to punish me for exposing misconduct tied to her political allies. She wanted to silence me by positioning herself as a victim of a threat that never happened and never existed.
The TPO was never about safety. It was a political tool. It was retaliation cloaked in legal language.
And the saddest part is that the system enabled it. The sheriff’s office knew the allegation was hearsay. They knew no crime had been committed. They knew the report was closed. Yet Hilton was still allowed to take that collapsed allegation into court and weaponize it to generate even more harassment against me. She was allowed to turn the entire process into a public spectacle. She was allowed to use a judicial tool intended for genuine victims as a sword rather than a shield.
She was allowed to escalate a rumor into a legal assault.
“A protection order means nothing when it protects no one and exists only because a lie traveled faster than the truth.”
THE ECHO CHAMBER OF HATE: HOW A SMALL GROUP TURNED DEFAMATION INTO A COMMUNITY SPORT
Once the rumor that I was dangerous or unstable began circulating, it did not stay contained within a single conversation. It grew legs, spread, mutated, and evolved into a community sport. The people who amplified it felt no hesitation and no shame. They felt licensed. They felt encouraged. They felt justified. They felt like participants in a shared mission to humiliate, degrade, and isolate someone who had already been marked by a narrative born inside a police chief’s inbox.
This digital wildfire spread quickly because it was carried by the same handful of people who weaponize gossip in Lorain County politics over and over again. They know how to twist a sentence, how to pull a screenshot out of context, how to provoke reactions, and how to feed on one another’s hostility. They are loud, coordinated, and comfortable crossing every boundary of decency because they have convinced themselves that their target deserves it.
There is no better example of this than Tia Hilton. She was not simply an occasional critic. She was the architect of a coordinated mockery campaign that encouraged others to pile on. Far from being afraid of me, she initiated most of the abuse. She created posts calling me “gay” as an insult, mocking the way I speak, implying I want to sleep with men, referring to me as “pretty boy” and “truck boy,” and making pointed attacks about my looks and masculinity. She mocked my injuries. She mocked my PTSD. She mocked my service. She mocked my disability. She mocked my public speaking. She mocked my advocacy.
Others joined her quickly. Jeff Casselman was one of the loudest. He accused me publicly of threatening Hilton, called me a liar, told people I was violating protection orders, spread falsehoods about my actions, mocked my mental health, and implied repeatedly that I was unstable. He created elaborate theories about why the sheriff’s office would have given me a report, insisting that something improper or conspiratorial must have occurred. He spoke about me as though he was offering a public service announcement rather than participating in targeted harassment.
On top of that, Casselman and others began calling me things like “liberal,” “Democrat,” “coward,” “liar,” or worse, all of which were intended to paint me as ideologically inconsistent or dishonest rather than simply someone who asked questions local officials did not want to answer. He suggested I used “but clauses” like a political tactic, attempting to frame me as someone who never accepts responsibility, even when I was the one beaten, injured, and publicly mocked.
Aden Fogel took the hostility even further. He called me a bully, claimed I “could dish it out but not take it,” and relied on cheap personal insults rather than addressing the substance of anything I reported publicly. He offered no facts. He offered no argument. He offered only the comfort of bandwagon hostility because it allowed him to fit in with people who shared his resentment. The irony is that Fogel is now a councilman in Sheffield Lake, one of several individuals who began their political careers not through leadership but through mockery of a resident who was trying to expose corruption.
Others piled on as well. Anonymous accounts. Friends of the bar. Members of local Facebook groups who have never spoken to me, never met me, never asked me anything directly. They called me a drunk. They called me a creep. They said I should be arrested. They said I belong in a mental institution. They mocked my teeth. They mocked my speech. They mocked my disabilities. They mocked my injuries after the bar attack. They made jokes about me being thrown out of places. They accused me of harassing women. They claimed I was kicked out of bars for “acting weird.” They fabricated entire storylines because it made them feel part of something bigger.
Every community bully needs a crowd. In Lorain and Sheffield Lake, that crowd is always ready.
Even people who had no direct involvement with me felt entitled to offer an opinion because others had established the narrative for them. Once the hostility became normalized and made publicly acceptable, people who would otherwise keep their comments private stepped forward to mock me openly. They were not scared. They were not cautious. They were not holding back. They were performing. They were participating in a ritual that had been modeled for them by people who felt immune to consequences.
The pattern is unmistakable. When Hilton mocked me, others copied her language. When Casselman accused me of violating protection orders, others repeated it as fact. When Fogel insulted my character, strangers chimed in with their own insults as though they had been waiting for the opportunity. It became a chain reaction. It became fashionable. It became a local pastime to demean someone who had already been stripped of humanity in the eyes of the community.
None of this was organic. It was an echo chamber engineered by people who had been conditioned to believe that my voice was a threat to their comfort, their alliances, and their political narratives.
Once a community decides you are less than human, the cruelty that follows is not viewed as cruelty at all. It becomes entertainment.
“The mob did not form on its own. It was built, fed, and encouraged by people who believed they had permission to treat me like I was not a person.”
SIDEBAR: THE BAR DID NOT JUST FAIL TO REPORT THE ASSAULT — THEY PUBLISHED IT, MOCKED IT, AND MONETIZED IT
There is a detail in this case that separates what happened at the bar from a normal assault, and it exposes the culture that enabled every lie that followed. The bar did not simply allow the attack to occur. The bar did not simply fail to call the police. The bar did not simply let patrons physically handle another customer while staff stood by. They went further than that. They took their own security footage, edited it, broadcast it publicly, and used it to mock me on their podcast before I had even recovered enough to file my police report.
This is not speculation. This is not rumor. This is a documented sequence of events, confirmed by timestamps and recordings. The bar held at least two public podcast episodes in which they replayed the footage, paused it, laughed at it, and made fun of my injuries. They treated real violence as entertainment. They turned an assault into content. They played the role of commentator, judge, and comedian instead of business owner, responsible party, or mandated reporter under the Dram Shop Act.
At the time their podcasts were published, I had not yet even been physically able to walk into a sheriff’s office to give my statement. I was still recovering from being slammed to the ground, pinned down, kicked, dragged across the floor, and left bleeding outside. They used that window of time, when I was injured and silent, to cement a false narrative. They filled the information vacuum with their version, which they crafted from the angles they chose to show and the commentary they decided to provide.
They knew that once a narrative becomes entertainment, it becomes truth in the eyes of the public.
They mocked me for being dragged, joked about my limp arm, and framed their own intoxicated patron as a hero. They used their platform to portray my injuries as comedy rather than consequence. They laughed at my pain and made sure that the community laughed with them. In that moment, the harm was not just physical. It was reputational and psychological. When someone weaponizes your assault for content, it pulls the dignity out of the experience and replaces it with humiliation.
They never called the police that night. They never filed a report. They never reached out to check on my condition. They had ample opportunity to comply with the Dram Shop Act, which places a legal obligation on establishments to ensure the safety of patrons, including preventing foreseeable harm. Instead of any of these responsibilities, they chose to create a spectacle.
They waited until the dust settled, until they crafted the story they wanted, and then broadcast their version to the public, knowing full well I had not spoken yet. They did this because they believed I would not fight back. They believed the video would be the only story the community ever heard. They believed they would control the narrative forever.
Their podcast created the initial wave of hostility that later fueled the Facebook mobs. People made comments about me being “weird,” “fake calling,” “drunk,” or “dangerous” based not on firsthand knowledge but on the edited broadcast and the commentary that went with it. The podcast did not just reflect the culture of the bar. It created the culture that allowed people like Tia Hilton, Jeff Casselman, and others to feel empowered to attack me online. They saw the bar laughing, so they laughed too. They saw the bar mock the footage, so they mocked me as well. They saw the bar treat the violence as entertainment, so they treated me as a character instead of a human being.
This is how a real assault becomes folklore. This is how an injured person becomes a punchline. This is how a community turns on someone without ever examining the facts.
The bar set the tone. The bar shaped the narrative. The bar created the environment where the truth became secondary to the joke. The bar made sure that by the time I could speak, the crowd had already been taught to boo.
“Before I could even file a police report, they had already turned my assault into a comedy segment. That is not an accident. That is a culture.”
THE COMMUNITY AMPLIFICATION: HOW MOCKERY TURNED INTO MOB BEHAVIOR
What happened after the bar turned my assault into entertainment is predictable when you understand the psychology of humiliation in small communities. When an institution signals that someone is fair game, the people who already disliked that person take it as permission to escalate. Once the podcast circulated, the tone changed instantly. Strangers I had never met began discussing me as if they were experts on my mental state. People who had never seen the inside of the bar that night created entire stories about my actions, behavior, or supposed intoxication. They repeated every false detail that benefitted the attackers. They blended rumor with fantasy until even they believed it.
And the most striking part was that none of these people were witness to anything. They did not see the phone call with Councilwoman Kempton. They did not watch Andy lay his hands on me first. They did not see intoxicated friends of the bar turn into self-appointed bouncers. They did not see me pinned, kicked, dragged, or shoved into the pavement. All they saw was the version crafted by people with something to hide, and all they heard was the commentary created by people who needed to justify their actions.
Online, people I had never spoken to began calling me gay as an insult, mocking my voice, mocking my disability, making fun of my service, and laughing at the injuries on my face. They acted as though I had chosen to be assaulted. They treated the violence as something deserved. They repeated the false claim that I had been “creepy to women,” even though the bar itself never accused me of any such thing when I was inside. They claimed I had been “acting weird” or “pretending to be on a fake call,” despite the three hours of conversation with a sitting councilwoman who later confirmed everything.
Every insult that appeared online felt like an extension of the hands that had shoved me into the carpet. The ridicule was not separate from the assault. It was a continuation of it.
What people forget is that humiliation is a form of violence. When a community laughs at you, piles on, spreads lies, and treats your pain like a joke, it inflicts a different kind of wound. Mockery becomes a way of erasing the original wrongdoing. If enough people laugh, the victim becomes the story instead of the violence.
People like Casselman, Huskey, Wilhelm, and others jumped in without hesitation. They mocked my injuries. They mocked my disability. They mocked my sexuality. They mocked my voice. They mocked the idea that I could be assaulted at all, as though my pain was a punchline. And the bar laid the groundwork for all of it by showing the world that hurting me was not serious, not criminal, not something that required accountability. It was entertainment.
They shaped the climate that allowed others to feel righteous in their cruelty. Once they framed me as a figure of mockery, the community felt liberated to join the performance. People compete for wit when cruelty is socially rewarded. They outdo each other with insults. They escalate without knowing or caring who they harm.
Online harassment is not random. It follows a path. Someone in positions of influence opens the door, and others rush in. The bar opened the door, and the community trampled through it.
“Mockery is not the aftermath of violence. It is the second phase of it. Once the bar laughed, the community felt licensed to follow.”
THE SHEFFIELD LAKE CONNECTION: HOW FOGEL, MORROW, AND OTHERS POURED GASOLINE ON A SPARK THAT WAS NEVER TRUE
Once the bar incident was reframed publicly as a joke instead of a crime, the next wave of escalation came from Sheffield Lake. This was not an accident. It was not coincidence. It was a continuation of the same narrative pipeline that started with Chief McCann and flowed directly into the hands of people who either misunderstood the situation or were eager to weaponize it.
Two of the loudest voices amplifying the hostility were Fogel and Morrow. Both are now sitting councilmen in Sheffield Lake. Both used their platforms, their social circles, and their online presence to repeat false claims about me at a time when the truth was buried under the bar’s podcast narrative and the rumor mill had taken full control.
Their actions were not identical, but they fed the same fire.
Fogel took the direct approach. He publicly mocked me, insulted me, and portrayed me as someone deserving of ridicule. He participated openly in threads where people called me crazy, unstable, gay as an insult, mentally ill, pathetic, or a joke. He lent legitimacy to a culture of harassment by joining in rather than checking it. When an elected official chooses to laugh at a resident instead of protect the truth, the entire community receives a signal about who is worth respecting.
Morrow’s involvement took a different form. He did not lead the charge with insults, but he passed along an incorrect and harmful interpretation of my conduct to individuals like Chapin. That misinterpretation carried the weight of his position and circulated as though it were fact. Once a public official repeats something, even if wrong, it becomes believable to everyone who hears it afterward. His inaccurate description became part of the chain that justified the later hysteria and helped create the conditions that allowed false allegations to snowball.
Their online participation overlapped with the worst of the Facebook mobs. The insults, the piling on, the mockery of my disability, the slurs, the aggressive attempts to portray me as dangerous or deranged, all happened in an environment where people like Fogel and Morrow had already framed me as a public spectacle instead of a citizen with rights. They did not merely join the crowd. They empowered it.
These actions occurred at the same time that Hilton, Casselman, Huskey, Antus, Wilhelm, and others were launching their own coordinated campaigns of harassment. The system of misinformation was not isolated to Lorain or the bar community. It had spread into an entirely different city, carried by people eager to repeat stories that they never verified.
Every mob needs a justification. Fogel and Morrow helped supply it. They spread the idea that I was a problem, a threat, a joke, or an irritant. And once that seed was planted, the Sheffield Lake community felt as comfortable attacking me as the people from Lorain.
None of them knew the truth. None of them witnessed the bar assault. None of them saw the emails McCann circulated. None of them reviewed the public records. None of them spoke to Kempton. None of them knew the context of the phone call. They simply inherited a narrative that someone else crafted, and rather than question it, they multiplied it.
That is how reputational violence works. It travels through people who never saw the original harm but are eager for entertainment, eager to join a social moment, or eager to align with others who share their political circle. When local officials participate, the environment becomes even more toxic because their words carry the implication of truth, even when none exists.
Fogel mocked. Morrow misinformed. Others followed. And the hostility became a self-feeding machine.
“Once public officials joined the mockery, the harassment stopped being gossip and became a community sport.”
When the Mob Becomes the Government: How Fogel and Morrow Carried Their Hostility Into Public Office
In most communities, the people who rise into elected office are expected to display judgment, restraint, and respect for the truth. In Sheffield Lake, the opposite occurred. Two of the individuals who helped create, spread, or reinforce the false narrative that I was dangerous or unstable now sit on the city council. Their comments, their participation in rumor chains, and their willingness to repeat unverified claims did not disappear once ballots were counted. Their public posts, insults, and insinuations remain part of the record. So does the impact they had on the events that followed.
Aden Fogel is the most visible. Long before he campaigned for office, he publicly mocked my appearance, my masculinity, my disability, and my trauma. On Facebook he wrote things like “he probably smelled the shit all over his dick,” or called me “fuck knuckle,” or implied that being gay would be an insult. He encouraged people who harassed me and engaged directly in threads where lies and character attacks were the only point. This was not private behavior. This was done publicly, proudly, and repeatedly. It remains posted today. When a person who behaves this way toward a citizen becomes one of the voices governing a city, it raises the question of what type of leadership the community expects from its officials.
Jon Morrow occupies a more complicated space. He is not the one who hurled insults, mocked anyone’s body, or posted degrading comments. He is not the one who started public harassment. His name enters this story for one reason only. He allowed himself to become the central link in a rumor chain that led directly to a false allegation of a death threat. He believed he heard me say something during a Facebook audio call. He did not document it. He did not report it. He did not mention it for weeks. He did not treat it as serious at the time. The Sheriff’s Office confirmed that no direct threat was made. There was no immediacy, no intent, no action, and no criminal conduct. The case was closed. Yet somehow, that single mistaken statement traveled from him, to a reporter, to a source, to a sheriff’s deputy, to the person who would later use it as justification for a protection order. A chain built entirely on hearsay began with him. The impact of that chain was enormous.
Both men now sit on Sheffield Lake City Council. Both now wield official power. One participated gleefully in public harassment. The other inadvertently triggered a false allegation that led to a court order and a public crisis. Neither has ever corrected the record publicly. Neither has acknowledged the harm their statements caused. Neither has taken responsibility for undoing the damage.
The presence of these two men in elected office matters because it reveals how easily a community can elevate the very people who helped dehumanize someone. It also shows how quickly political power can legitimize behavior that would otherwise be dismissed as online hostility. When citizens see councilmen publicly attacking a private resident, mocking him, repeating lies, or participating in rumor chains, it sends a message. It tells the public that this behavior is not only acceptable but endorsed. It teaches people that they can pile on without consequence.
The story becomes even more troubling when you consider that these individuals, now elected, helped create the environment in which the bar attack occurred. Their comments fed into the community-wide narrative that I was someone who deserved suspicion, humiliation, or harm. Their mockery helped normalize the idea that I was fair game. Their participation in spreading misinformation strengthened the lie that justified the treatment I received. Their new titles do not erase their actions. Instead, their titles bring those actions into sharper focus.
This is not about two officials disliking me. People are allowed to dislike each other. This is about public officials who engaged in conduct that contributed to a false public narrative, helped create a hostile environment that led to an assault, and participated in online harassment campaigns while holding or pursuing public power. The community deserves better than leaders who elevate gossip over truth, hostility over accountability, and rumor over responsibility.
The fact that both men now sit in positions of civic authority shows how small-town politics can fail to filter out people who have demonstrated they will use their influence to tear someone down rather than lift their community up. When individuals who helped create a false threat narrative become the ones voting on ordinances, appointments, and public business, it becomes clear that the erosion of truth has consequences far beyond social media.
“Two of the people who helped shape the rumor that I was dangerous now sit in elected office. Their words helped create the environment where I was attacked. Their titles do not erase their behavior. They elevate it.”
THE WEAPONIZED PROTECTION ORDER: HOW A LIE ON FACEBOOK TURNED INTO A COURTROOM CONSEQUENCE
The next escalation did not begin with evidence, police reports, or credible threats. It began on Facebook. Before any legal filing existed, a small network of people surrounding Hilton had already built a storyline portraying me as a danger. None of it was rooted in fact. None of it was supported by law enforcement. Yet it spread quickly because it suited the narrative they wanted to believe.
Hilton claimed I was stalking her, threatening her, sending people to her home, and endangering her child. These claims were not made to the police first. They were made publicly in comment sections, where they were repeated, exaggerated, and accepted by those who had already invested themselves in disliking me. Individuals like Casselman, Huskey, Antus, Wilhelm, and others amplified the claims, adding insults and assumptions of their own. They did this in the open. They did it confidently. And they did it without any factual basis.
Hilton then carried this online hostility into the legal system through a protection order filing that relied almost entirely on hearsay. The filing repeated the same misinformation that had circulated for weeks on social media. It was constructed from comments made by people who had been publicly attacking me, mocking me, and spreading falsehoods about me. It was not based on criminal behavior because no criminal behavior existed to support it.
When the sheriff’s office reviewed the claims, the result was simple: there was no criminal act. Nothing in Hilton’s report constituted a crime. Nothing in her statements could legally support charges of stalking or threats. The investigating deputy concluded the matter without recommending prosecution. There were no charges, no evidence of wrongdoing, and no indication that I posed any danger to anyone.
What did exist, however, was an extensive pattern of harassment aimed at me by Hilton herself. Her private messages to me consisted of insults, taunts, and mocking references to my mental health and my disability. At one point she emailed me, calling me “bat shit crazy” and congratulating herself for the role she believed she played in getting me blocked from City Hall. Her aggression toward me was not subtle. It was overt, direct, and unprovoked.
Yet despite her own conduct, she presented herself to the court as someone in fear. The protection order became a tool, not a shield. It served as a method to flip the narrative and cast herself as a victim at the very moment she was publicly escalating the situation.
Compounding this was the role of community members who echoed her claims. Casselman stated publicly that I violated the protection order because I redacted my own address when posting the sheriff’s report. Any attorney would confirm that redacting one’s address is not only permissible but advisable. Huskey claimed she had “heard proof” of threats, though no such proof ever surfaced. Wilhelm mocked my mental health and called for me to be institutionalized. Antus and others joined in, adding their insults and distortions to the growing pile of misinformation.
It is also important to note that Officer Aaron Bober, who engaged with Hilton in some of these discussions, passed away suddenly from cardiac arrest while on duty. His passing is a tragedy for his family, colleagues, and community. Nothing in this examination of public statements is intended to diminish his service or his humanity. It remains true, however, that the statements made to him by Hilton were not grounded in fact and that the legal duty to verify accusations existed irrespective of any personal circumstances.
From beginning to end, the protection order was not supported by evidence. It was supported by a climate that had been building for years. A climate where people felt empowered to assign the worst motives to anything I did. A climate where rumor evolved into belief and belief hardened into perceived truth. A climate cultivated in large part by earlier off-record comments, mischaracterizations, and insinuations circulated by Chief McCann, which painted me as unstable or dangerous long before Hilton ever typed my name.
Hilton did not invent the atmosphere that surrounded me, but she weaponized it. She used it to transform ordinary online hostility into a legal action designed to harm my reputation and restrict my rights. And the people who supported her did so because they had already accepted the idea that I was someone who could be targeted without consequence.
When a community is told repeatedly that a person is unstable, it becomes easy for them to treat that person as less than human. Once that happens, anything said about them feels legitimate, even when it is not. That is how a Facebook rumor became a court filing. That is how a narrative built through gossip transformed into a legal weapon. And that is how a protection order, intended by law to shield victims of real danger, became another tool used to retaliate against me for speaking out.
“Lies repeated often enough begin to resemble truth, and once people believe a lie about you, they feel justified in acting on it. That is how rumors turned into a legal judgment against someone who had committed no crime.”
The Circle Closes: Back to McCann, Back to the Source
Everything in this story turns back toward the same origin point. Every whisper, every rumor, every insult, every manufactured narrative, every coordinated smear campaign, every Facebook thread full of cruelty, and every public official who felt comfortable tearing me down traces back to the environment created by a police chief who used his office to cast me as someone who could be diminished without consequence.
Chief James McCann planted the seed the moment he began emailing court officials about my mental state, my employment, my reputation, and my credibility. Those emails circulated behind the scenes. They were shared with people who had no lawful reason to receive them. They gave shape to a narrative that portrayed me as unstable, dangerous, or unhinged. Once a narrative like that is released into a community, it lives a life of its own. It sets the tone for everyone who follows. People begin to treat you as a caricature instead of a human being. They begin to believe they can put hands on you, mock you, threaten you, slander you, or laugh at your injuries. And they believe they can do it publicly because someone in authority already suggested you were someone who could be treated this way.
The bar attack, the false rumor of a threat, the TPO built on hearsay, the Chronicle framing my assault as an altercation, the Facebook mobs, the coordinated harassment, the political pile-on, the elected officials joining the chorus, the people cheering my injuries, the ones calling me names, the homophobic comments, the disability mockery, the slurs, the degrading language, the false accusations, the public humiliation, all of it grew from the same root.
The quotes below are not just mean comments from random people on the internet. They are the fruit of a culture that began with the misuse of a badge. They represent what happens when a police chief tells a community who they are allowed to hate.
This is the ecosystem McCann created. These are the things people felt comfortable saying out loud.
“He probably has shit all over his dick.” — Aden Fogel, “He don’t want to represent you, he wants to rep your husband!” — Tia Hilton, “He’s about to phuq the whole city… wait till you have to front a pretty man’s bullshit.” — Tia Hilton, “Water boys can’t get PTSD.” — thread involving Hilton, “Now I’m gonna hand that vet his ass publicly in November.” — Tia Hilton, “I’m NOT sorry he got fired. Not one bit. Prove I did it.” — Tia Hilton, “You are the REAL MVP!” — Tia Hilton encouraging Aden Fogel contacting employer, “Are there shirts we can wear for Angel?” — Tia Hilton, “Let’s get ready to rumbleeeee!” — Tia Hilton, “Truck boy.” — Hilton/Ritchey associated threads, “I’ll never slime first but I will slime the worst.” — Tia Hilton, “He was home sleeping… phone shit in the sky will prove it.” — Tia Hilton, “Maybe you will see now you are bat shit crazy.” — Tia Hilton, “Even Jack saw ‘Beaverman’ and said not today Satan!” — Tia Hilton, “Congrats on the victory… sikkkeeeee.” — Tia Hilton, “This is why he’s not a GAL any longer.” — Jeff Casselman, “He acts like a liberal democrat, never accepts responsibility.” — Jeff Casselman, “Everything you see blacked out was done by shit head.” — Jeff Casselman, “Pretty sure that POS is in violation.” — Jeff Casselman, “He’s been awfully chummy with Jack Hall.” — Jeff Casselman, “Karma is a wonderful thing to witness, enjoy his demise!” — Kelly Schmidt, “He can take his buddy Mr. Petty with him!” — Anonymous participant responding to Schmidt, “He probably smelled the shit all over his dick.” — Aden Fogel, “Postal and shouldn’t be out in public?” — Becky, “I’ve heard proof.” — Kerri Huskey accusing you of a threat you never made, “This fuck knuckle belongs in a mental institution.” — Zack Wilhelm, “Knapp is crazy, batshit crazy.” — Hilton commentary, “He is weird, acting strange.” — bar patron narratives, “He was pretending to be on a fake phone call.” — bar patron rumors, “He took over the group with his goons.” — group thread, “He will delete you without notice.” — group rumors, “Enjoy his demise.” — Kelly Schmidt, “Amen.” — anonymous reply celebrating your downfall, “Looks like you fucked around and found out.” — James Reed, “I’ve seen the report.” — Jeff Casselman claiming he saw internal documents, “Some people shouldn’t go in public.” — Tia Hilton mocking your assault, “I hope this video finds you well. Ouch.” — Tia Hilton mocking your injuries, “A little postal, shouldn’t be out in public.” — group discussion, “Start a new group.” — Hardy Hall referring to you, “He’s a bully who can dish it out but can’t take it.” — Aden Fogel, “This guy needs to be stopped.” — threads targeting you, “He’s unstable.” — circulating claims tied to McCann’s narrative, “He’s dangerous.” — rumor threads, “He’s mentally ill.” — hostile community comments, “He deserved what happened.” — bar-aligned commentary, “He’s a pretty boy.” — Hilton threads mocking appearance, “Enjoy his downfall.” — anti-Knapp commenters, “He’s creepy.” — rumor threads, “He makes people uncomfortable.” — circulating narrative, “He’s fake.” — group commentary, “He’s a liar.” — threads amplifying hearsay, “He’s always playing the victim, dude needs a mirror not a platform.” — J. Martinez, “Somebody needs to tell Knapp nobody is scared of his Facebook essays.” — C. Ramirez, “Man talks like he’s some kind of hero but can’t handle a bar night without crying about it.” — L. Weber, “Every time he opens his mouth it’s drama, drama, drama — exhausting.” — D. Collins, “Imagine thinking you’re exposing corruption but really you’re just exposing how unhinged you are.” — M. Hayes, “Bro needs a hobby that isn’t stalking the Sheriff’s Office.” — S. Tressel, “He’s got the energy of a dude who records customer service calls ‘just in case.’” — B. Tanner, “You can always tell when Knapp logs in because the cringe goes up 300%.” — A. Delgado, “Every time he posts I lose brain cells.” — R. Higgins, “Somebody revoke his WiFi.” — H. Parker, “He can’t keep a job but thinks he’s gonna fix Lorain County.” — J. Emerson, “Man acts like we’re all characters in his political fan fiction.” — K. Landon, “He literally argues with himself online and still loses.” — P. Whitfield, “You can’t reason with someone who thinks screenshots are a personality.” — S. Klinger, “Even his allies get tired of him.” — D. Lutz, “Dude weaponizes victimhood like it’s an Olympic sport.” — J. Calderon, “Bro’s entire personality is ‘I’m being targeted.’” — M. Bostic, “He acts like he’s uncovering Watergate when he’s really just annoying people at a bar.” — L. Ferrell, “Knapp takes everything personal because he IS personal drama.” — C. O’Neill, “Posting 4,000-word rants doesn’t make you Churchill.” — N. Alvarez, “He doesn’t need enemies, he argues himself into trouble.” — T. Watkins, “Every time he shows up in a thread the whole vibe dies.” — R. Kendall, “If attention was currency this man would be the richest in Lorain.” — A. Burns, “Couldn’t win a seat but thinks he’s the shadow mayor.” — S. Daniels, “He makes everything about him and then cries when people respond.” — C. Mendez, “Man got dragged out of a bar and still thinks he’s the hero of the story.” — J. Fuller, “He needs to touch grass, not court documents.” — B. Harris, “Every conspiracy in Lorain magically leads back to him — in his own mind.” — K. Bell, “He’s exhausting. Just exhausting.” — D. Forester.

“I think this is the guy I met, but I might have met three people at once. If this is the guy, it felt like a scene from Me, Myself, and Irene. He’ll say, ‘Thanks for liking and sharing my page,’ and then he sees himself in the mirror and starts arguing with himself ‘Hey, that’s me… or him?’ He likes his own posts, but then dislikes them too. I’ve always been 100 percent real with all three of them. Some of what he says isn’t completely off, but he totally loses it when his other personalities get confrontational about something he (or they) posted. Am I wrong?” — Antonio Baez
Final Thought:
The Mob Did Not Form In A Vacuum
What happened to me did not happen because of one bar fight, one rumor, one Facebook post, or one disagreement. It happened because a network of people decided I was an acceptable target. They decided I was somebody who could be lied about, shoved around, mocked, defamed, threatened, and dehumanized without consequence. And they made that decision for one reason: because years ago a police chief with a badge and a grudge labeled me as a problem and fed that label directly into institutions and individuals who then carried it forward as truth. The harassment did not begin online. The online harassment was just the echo.
Look at the pattern. Every insult, every smear, every “he’s crazy” jab, every “he’s a danger” claim, every “he’s multiple personalities” joke, every “go eat your dad’s nuts,” every “child pervert” slur, every threat to walk to my house, every “stay in your lane,” every anonymous dig, every mocking podcast, every administrator using their group as a weapon, every post about banning, shadow-removing, blocking, gossiping, every attempt to humiliate me publicly, every attempt to isolate me privately, all of it follows the exact shape of the official narrative that Chief McCann seeded years ago.
When a police chief tells people you are unstable, dangerous, unhinged, mentally ill, or a threat, that narrative travels. It infects. It sticks. It becomes a whisper network that grows legs and spreads in rooms you never enter. And when the exact same descriptions appear on Facebook, on podcasts, in comment sections, in Messenger threats, on community pages, from political supporters, from business owners, from people who have never met me, that is not coincidence. That is the predictable outcome of an authority figure abusing their platform and other people absorbing that abuse as permission.
People will ask why strangers felt so comfortable saying these things. Why they felt entitled to attack me openly. Why they felt protected. Why they believed nothing would happen to them. Why they assumed I was powerless. The answer is simple. They saw law enforcement do it first. They saw city officials join in. They saw politically connected people pile on. They followed the tone that leadership set.
They believed I was safe to hate.
And that is the real story. Not the fight. Not the rumors. Not the noise. The real story is how easy it became for a community to treat a citizen as disposable because someone in power quietly suggested that I already was. The real story is how quickly everyday people will dehumanize someone when they think the people upstairs are signaling it is allowed.
What they did not expect is that I kept every receipt. Every message. Every smear. Every contradiction. Every recording. Every administrative lie. Every denial. Every file. Every screenshot. Every podcast clip. Every hostile post. Every threat. Every single piece of it. And I am not done.
Because this is bigger than me. This is about the culture that lets this happen and the leadership that encourages it. It is about the people who weaponize their titles, their platforms, their groups, their political ties, their badges, their friendships, and their influence to silence critics by destroying them personally. It is about the mob that forms when a single spark of malice is dropped from the top and the right people know exactly how to fan it.
This entire mess was preventable. It could have stopped the moment the people in authority chose professionalism over pettiness. But they didn’t. They fed it. They followed it. They let it grow. And they let others think I was fair game.
What they all forgot is that I don’t break easy. I document. I publish. I expose. I push back. I survive storms they never could. And after everything they threw at me, I am still here, still standing, still writing, still filing, still uncovering, still shining sunlight where they work hardest to keep things dark.
They wanted me silenced. They made me louder.
They wanted me embarrassed. They made themselves transparent.
They wanted me gone. They made me necessary.
And now that every word, every insult, every lie, and every attempt at humiliation has been preserved, stitched together, and laid bare in one place, the question shifts. It no longer becomes “How did this happen to me?”
It becomes “How many other people have they done this to?”
And “How much longer will Lorain tolerate leadership that treats retaliation as policy?”
The truth always outlives the people who fear it. And I am not going anywhere.
LEGAL STATEMENT
The documentation contained in this report, including screenshots, statements, messages, comments, and republished material, is presented for the purpose of accurate reporting, public accountability, and matters of legitimate public concern. Every item included is a verbatim record created by the individuals who authored or posted it. These materials are preserved as evidence of patterns of conduct, public statements made by the individuals themselves, and commentary relating to public officials, public matters, or ongoing governmental issues.
Nothing in this publication should be interpreted as asserting guilt, criminal wrongdoing, or unlawful action unless such facts are already established by official record or direct statements made by the parties involved. The statements herein reflect my analysis, opinions, and conclusions based upon documented evidence, Ohio law, and matters already placed into public discourse by the individuals who originated them.
This publication is protected under the First Amendment of the United States Constitution and Article I, Section 11 of the Ohio Constitution. Fair comment, political criticism, and reporting on public controversies are legally protected forms of speech. All quotes, excerpts, and materials included are matters of public record, public posting, or voluntary publication by the individuals named.
To the extent that any individual disputes their own statements, comments, or conduct, they are invited to provide a written correction, clarification, or rebuttal. No statement herein is intended to defame, mislead, or misrepresent. Every fact presented is supported by digital evidence maintained in its original form.
This document is produced for educational, journalistic, and lawful investigative purposes.
If you want the full records, the timelines, the videos, the reports they tried to hide, and the stories nobody else will touch, then you already know where to find me.
Lorain Politics Unplugged
LorainPoliticsUnplugged.com
Substack: Lorain Politics Unplugged
YouTube: Unplugged with Aaron Knapp
Facebook: Lorain Politics Unplugged
Gumroad: KnappUnplugged.gumroad.com
AaronKnappUnplugged.com
I do not work for politicians. I do not work for parties. I do not work for the people who want these stories buried. I work for the records, the receipts, and the truth. Every article, every video, every document, every investigation is backed by real files, real evidence, and real accountability.
If you believe in transparency, if you believe in exposing what powerful people hope you never see, if you believe sunlight is a headache for somebody, then follow, subscribe, and stay plugged in. The work continues.





























































































































































Thank you Aaron Knapp for telling us the Truth of this nightmare you have lived through and have endured. The journalist integrity you have displayed is above reproach.
Santa Andy was such a naughty boy and pictured with Lorain County’s $100k victim, yet the captured assault against you had been claimed to have been investigated by the Lorain County Sheriff’s Office and determined to be what?
Perhaps Sheriff Hall should investigate this investigation and obtain a factual determination of the criminal behavior involved from the serious injuries and hospital stay resulting from that merciless beating you received partially recorded on video tape. It is the recorded video that depicts the TRUTH.
Like many of your public records case in pursuit of Truthful facts, when we accomplish a proper investigation: WHAT WILL WE DISCOVER?
Sheriff Hall Please Answer this Question?